はじめに
昨今、自動車業界ではSDV(ソフトウェア定義車両)への変革や、MBSE(モデルベースシステムズエンジニアリング)の活用による開発プロセス革新が進められています。これらの取り組みでは、製品を単なる部品の集合としてではなく、ユーザー体験やサービスを提供する「機能の集合」として再定義することが求められます。
しかし実際の設計では、機能が複雑に絡み合い、要求は多次元かつ相互にトレードオフ関係を持つようになります。その結果、上位要求をどのように数理的に落とし込み、制御仕様や構成選択へ接続するかが設計者に委ねられている場面も少なくありません。
本記事では、熱流体解析そのものではなく「要求性能から制御仕様を設計するプロセス」に焦点を当てます。部品設計に留まらず、システム全体の最適化に踏み込む設計アプローチの一例として、電気自動車の熱管理システムを題材に、簡易モデルと最適化計算を用いて制御仕様を推定するアプローチを紹介し、設計初期段階での活用可能性を考察します。
電気自動車の熱管理システム
対象とするのは、テスラ社のオクトバルブを用いた電気自動車の熱管理システムです。このシステムは、8ポートを持つ統合バルブによる冷却水回路切替を特徴とし、エアコン冷媒を用いたヒートポンプサイクル(H/P)との組み合わせにより、室内・バッテリー・駆動系の温度を統合制御します。

熱管理システムの概略図とオクトバルブによる冷却水回路切替の模式図。[1][2]より抜粋
本システムは様々な運転シーンに対応した構造を持ちますが、本稿では電気自動車に特有の急速充電シーンにフォーカスします。バッテリー充電中の温度要件についても、様々なものがありますが、今回は、
- 高温域:安全のため、許容温度を超えないこと
- 常温域:最適な温度帯を維持しつつ、充電速度の最大化のため、消費電力を抑えること
- 低温域:劣化防止のため、温度ごとに充電速度を制限すること
を要件と設定します。
以降では
- 熱管理システム構成の整理
- システム構成と要求仕様の定式化
- 制御目標の最適化問題
の順に分解し、温度ごとにシステムがどのように振舞うのか整理していきます。
熱管理システムの簡易モデル化
定式化にあたり、まず熱管理システムについて整理します。H/Pの冷媒回路を抜き出すと、コンプレッサーによる圧縮と膨張弁での減圧のサイクルの中で、
- コンデンサー:冷媒は冷却水へ熱を受け渡す
- チラー:冷媒は冷却水から熱を受け取る
構成になっています。

H/P冷媒回路の構成
続いて冷却水回路に着目します。特許文献では複数の動作パターンが示されていますが、充電時のバッテリー温度管理の観点から整理すると、大きく以下の2種類に分類できます。
- 並列:バッテリーとH/P系のみが接続され、他部品と分離している状態
- 直列:バッテリーと駆動系・ラジエーター等が同一回路に接続される状態
並列ではバッテリー温度を独立して制御でき、直列では回路全体の熱収支の中でバッテリー温度が決まります。

冷却水回路のバッテリー温度観点での分類
本検討では、時間発展は扱わず、ある外気温・温度条件におけるエネルギー収支を最小限の構造で表現することを考えます。
バッテリー温度変化につながるバッテリー吸収熱量を\(Q_{in}\)(正:暖機、負:冷却)として、エネルギー収支を以下のように定式化します。
\(Q_{in}=Q_{Battery}+Q_{Ambient} pm W_{H/P} times COP + c_i times Q_{others}\)
- \(Q_{Battery}\) :バッテリー発熱
- \(Q_{Ambient}\) :外気との熱移動
- \(W_{H/P}\) :H/P消費電力
- \(COP\) :H/P成績係数
- \(Q_{others}\) :駆動系、室内空調、ラジエーターによる合計熱収支
- \(c_{i}\) :並列\(=0\)、直列\(=1\)
符号はバッテリー暖機方向を正と定義します。
なお、モデル化にあたっては各部品からの発熱・H/P最大消費電力・外気放熱率は一定と仮定し、暖機・冷却時のCOPは外気温に対して線形に変化すると仮定を置いています。
要求仕様の定式化
本稿では、バッテリー温度を直接制御する代わりに、その温度で許容される吸収熱量の範囲(上下限)として要求を与えます。具体的には下図のように、バッテリー最適温度域を20〜35℃として、最適温度からの乖離に比例した要求熱量の上下限を設定します。
本来は部品設計制約や商品性を考慮した丁寧な設定が必要な部分ですが、今回は以下の最適化計算を見据えて設計変数に対して丁度よい難易度になるような設定としています。

バッテリー温度に対する要求熱量の上下限境界。要求熱量が正の場合は暖機、負の場合は冷却要求。
直感的には、
- 温度が低いほど暖機、高いほど冷却が有利
- 回路全体の熱収支と要求が整合すれば直列
となりそうです。以降では、この直感が最適化の結果として現れるかを確認します。
最適化問題
以上を踏まえ、本稿では次の最小化問題として定式化します。
設計変数
- H/P消費電力\(W_{H/P}\)
- 冷却水回路構成\(c_i\)
制約条件
- バッテリー吸収熱量\(Q_{in}\)の上下限
目的関数
- \(J=W_{H/P}+P_Q+P_c\)
- \(P_{Q}=p_{upper}max(0,Q_{in}-Q_{upper})+p_{lower}max(0,Q_{lower}-Q_{in})\)
- 上限超過は冷却不足、下限未満は暖機不足としてペナルティを与えます。
- \(P_c=p_c(1-c_i)\)
- 常温域では並列・直列の両方が成立するため、直列を優先する微小ペナルティを設定します。
- \(P_{Q}=p_{upper}max(0,Q_{in}-Q_{upper})+p_{lower}max(0,Q_{lower}-Q_{in})\)
計算結果・考察
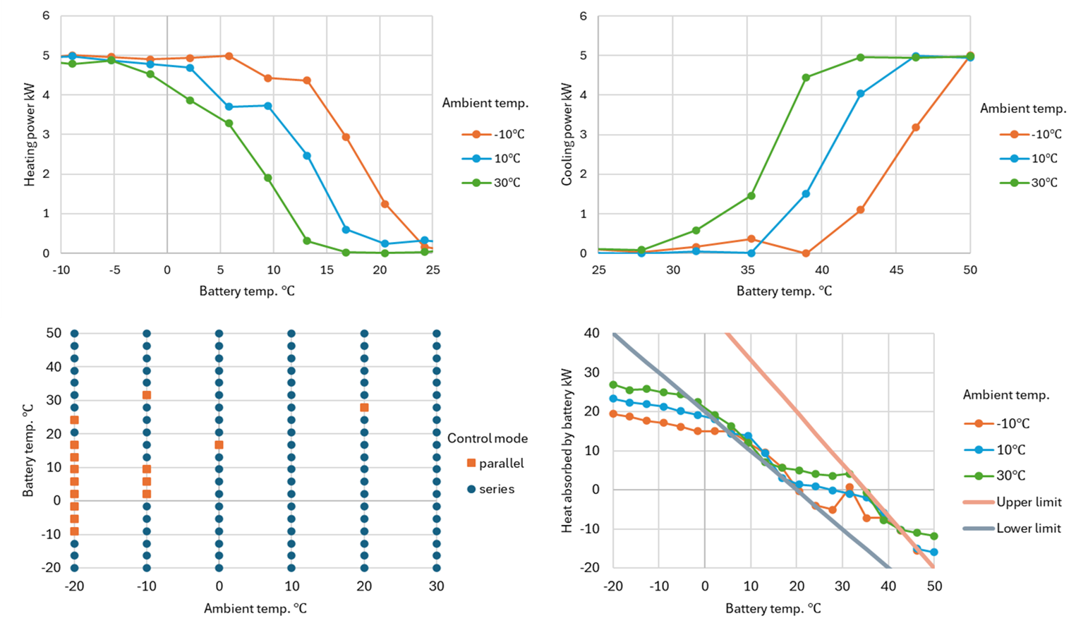
上記問題設定において、NSGAⅡを用いて最適化を実施し、各外気温・バッテリー温度ごとに、H/P消費電力と回路構成に対する制御目標を導出しました。

低温・高温充電シーンの暖機・冷却にかかるH/P消費電力の最適化結果
- 低温域 → 暖機優先
- 常温域 → H/P停止
- 高温域 → 冷却優先
という制御目標の変化が確認できます。すなわち、温度域ごとに制御方針を手動設定したのではなく、要求熱量とエネルギー収支のバランスから制御方針が導出されたことになります。

充電シーンにおける最適化結果:外気温とバッテリー温度に対する冷却水回路状態と上下限目標に対する吸収熱量
- 回路切替境界が外気温とバッテリー温度の関数として導出される
- 常温域では要求仕様を満たしながら消費電力が最小化される
ことも確認できました。
走行シーンとの比較
総発熱量を低減させると、制御切替境界が高温側にシフトします。これは発熱条件が変化すると最適な制御境界も変化することを示しています。

走行シーンにおける最適化結果
まとめ
本検討では、電気自動車の熱管理システムを対象に、
- 簡易熱モデルの構築
- 要求温度域からの吸収熱量制約の定式化
- 消費電力最小化問題としての最適化
を通じて、制御仕様を導出しました。実機はより複雑ですが、本アプローチにより、外気条件・発熱量・システム構成といった設計諸元が制御戦略へ与える影響を、定量的に把握できます。
さらに上位のモデルや形状設計と接続すれば、例えば以下のような拡張が可能と考えられます。
- システム構成を介した、充電時間と航続距離(電費)のトレードオフ可視化
- 形状パラメータと制御要求を同時に設計変数と置き、「カタチ × 使われ方」を含む設計空間での最適設計探索
本検討は、熱設計を「現象の解析」ではなく「要求から制御を導く設計問題」として捉え直す試みでもあります。今後も、熱流体・制御・最適化を横断しながら、システム全体最適を志向する設計アプローチを探求していきます。
参考文献
- [1]“Optimal source electric vehicle heat pump with extreme temperature heating capability and efficient thermal preconditioning”; 米国公開特許 US 2019/0070924 A1
- [2]”Octovalve Thermal Management Control for Electric Vehicle”; Alex Wray and Kambiz Ebrahimi(2022)
- [3]”A Review on Advanced Battery Thermal Management Systems for Fast Charging in Electric Vehicles”; Le Duc Tai, et al.(2024)
- [4]SDV革命 次世代自動車のロードマップ2040(日経BP); PwCJapanグループSDVイニシアチブ(2025)
- [5]カラー徹底図解基本からわかる二次電池(ナツメ社); 松本太(2024)
- [6]化学電池の材料化学(アグネ技術センター); 杉本克久(2010)
- [7]自動車用エンジンの冷却技術(グランプリ出版); 橋本武夫(2021)
- [8]図解入門よくわかる 最新冷凍空調の基本と仕組み 第2版(秀和システム); 高橋吉登(2019)

